Seite 8 von 8
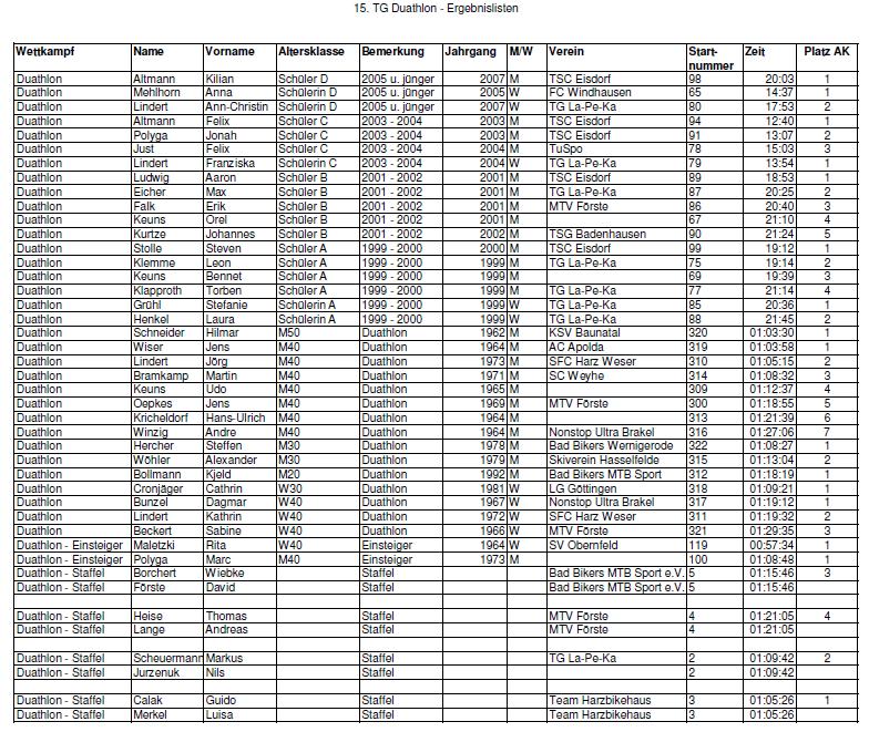
Hier sehen Sie die Ergebnislisten:

Hier können Sie sich die Liste als PDF-Datei herunterladen: 15. TG Duathlon - Ergebnislisten
Hier sehen Sie die Ergebnislisten:

Hier können Sie sich die Liste als PDF-Datei herunterladen: 15. TG Duathlon - Ergebnislisten
| Di 14 Apr 2026; 19:00 - 21:00 Vorstandssitzung - Gesamtvorstand und Übungsleiter |
| Di 12 Mai 2026; 19:00 - 21:00 Vorstandssitzung - Gesamtvorstand und Übungsleiter |
| Di 09 Jun 2026; 19:00 - 21:00 Vorstandssitzung - Gesamtvorstand und Übungsleiter |
| So 21 Jun 2026; 10:45 - 18. Osteroder Etappenmarathon |
| Mo 22 Jun 2026; 18:45 - 18. Osteroder Etappenmarathon |
| Mo 22 Jun 2026; 18:45 - 18. Osteroder Etappenmarathon - Etappe TG |
| Di 23 Jun 2026; 18:45 - 18. Osteroder Etappenmarathon |
| Mi 24 Jun 2026; 18:45 - 18. Osteroder Etappenmarathon |
| Do 25 Jun 2026; 18:45 - 18. Osteroder Etappenmarathon |
| Fr 26 Jun 2026; 18:45 - 18. Osteroder Etappenmarathon |